成人电影

当前位置是: 成人电影 -> 学生工作 -> 工作动态 -> 正文

学生工作

学生工作

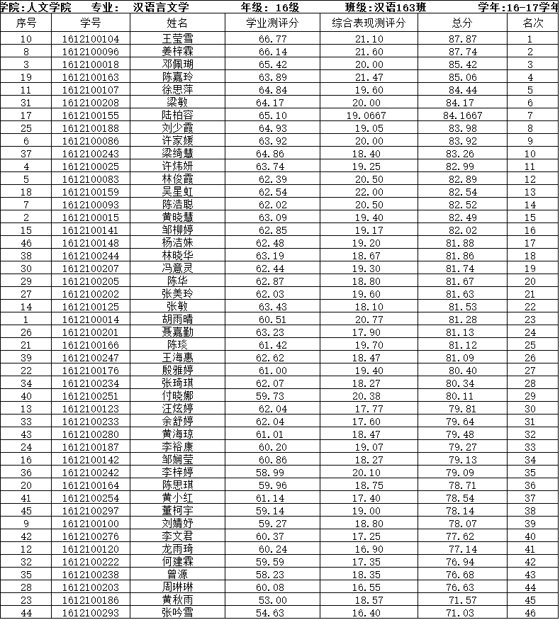
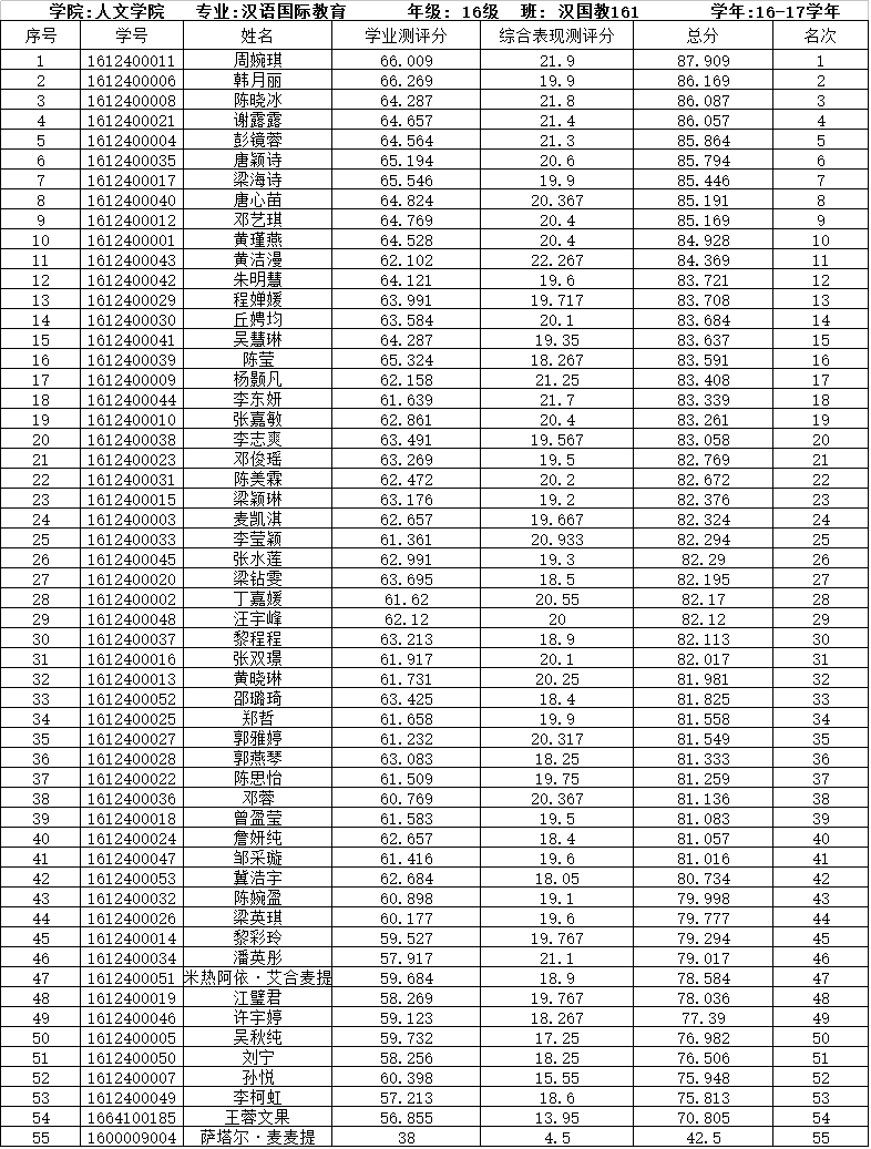
2016-2017学年成人电影 16级综测排名总汇

作者: 发布时间: 2017-09-27 浏览次数:

如对公示结果有任何问题,请咨询人文团学学评部16级负责人:叶玉萍 15625177356

                                             ——人文团委、学生会学评部